4950 - 斜率优化DP:玩具装箱

通过次数

2

提交次数

4

Time Limit : 1 秒
Memory Limit : 512 MB

原题来自:HNOI 2008

P 教授要去看奥运,但是他舍不得他的玩具,于是他决定把所有的玩具运到北京。

他使用自己的压缩器进行压缩。这个压缩器可以将任意物品变成一维,再放到一种特殊的一维容器中。P 教授有编号为 1…N 的 N 件玩具,玩具经过压缩后会变成一维,第 i 件件玩具压缩后长度为 Ci 。

为了方便整理,P 教授要求:

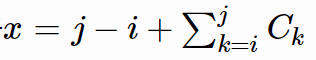
在一个一维容器中,玩具的编号是连续的;

如果一个一维容器中有多个玩具,那么两件玩具之间要加入一个单位长度的填充物。形式地说,如果要将 i 号玩具到 j 号玩具 (i≤j) 放到同一个容器中,则容器长度不小于 制作容器的费用与容器的长度有关,根据教授研究,如果容器长度为 x,其制作费用为 (X−L)^2 ,其中 L 是一个常量。

P 教授不关心容器的数目,他可以制作出任意长度的容器,甚至超过 L。试求最小费用。

Input

第一行输入两个整数 N,L;

接下来 N 行,每行一个整数 Ci 。

Output

输出最小费用。

Examples

Input

5 4
3
4
2
1
4

Output

1

Hint

数据范围与提示:

对于全部数据,1≤N≤5×10^4,1≤L,Ci≤10^7