6003 - NOIP2019(CSP) 提高:第二题 括号树
本题中合法括号串的定义如下:
()是合法括号串。- 如果
A是合法括号串,则(A)是合法括号串。 - 如果
A,B是合法括号串,则AB是合法括号串。
本题中子串与不同的子串的定义如下:
- 字符串
S的子串是S中连续的任意个字符组成的字符串。S的子串可用起始位置 l 与终止位置 r 来表示,记为 S (l, r)(1 \leq l \leq r \leq |S |,|S | 表示 S 的长度)。 S的两个子串视作不同当且仅当它们在S中的位置不同,即 l 不同或 r 不同。
题目描述
一个大小为 n 的树包含 n 个结点和 n - 1 条边,每条边连接两个结点,且任意两个结点间有且仅有一条简单路径互相可达。
小 Q 是一个充满好奇心的小朋友,有一天他在上学的路上碰见了一个大小为 n 的树,树上结点从 1 \sim n 编号,1 号结点为树的根。除 1 号结点外,每个结点有一个父亲结点,u(2 \leq u \leq n)号结点的父亲为 f_u(1 ≤ f_u < u)号结点。
小 Q 发现这个树的每个结点上恰有一个括号,可能是( 或)。小 Q 定义 s_i 为:将根结点到 i 号结点的简单路径上的括号,按结点经过顺序依次排列组成的字符串。
显然 s_i 是个括号串,但不一定是合法括号串,因此现在小 Q 想对所有的 i(1\leq i\leq n)求出,s_i 中有多少个互不相同的子串是合法括号串。
这个问题难倒了小 Q,他只好向你求助。设 s_i 共有 k_i 个不同子串是合法括号串, 你只需要告诉小 Q 所有 i \times k_i 的异或和,即: (1 \times k_1)\ \text{xor}\ (2 \times k_2)\ \text{xor}\ (3 \times k_3)\ \text{xor}\ \cdots\ \text{xor}\ (n \times k_n) 其中 \text{xor} 是位异或运算。
输入
第一行一个整数 n,表示树的大小。
第二行一个长为 n 的由( 与) 组成的括号串,第 i 个括号表示 i 号结点上的括号。
第三行包含 n − 1 个整数,第 i(1 \leq i \lt n)个整数表示 i + 1 号结点的父亲编号 f_{i+1}。
输出
仅一行一个整数表示答案。
样例
输入
5 (()() 1 1 2 2
输出
6
输入
8 )())((() 1 2 3 4 5 6 7
输出
19
提示
【样例 1 解释】
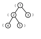
树的形态如下图:
将根到 1 号结点的简单路径上的括号,按经过顺序排列所组成的字符串为 (,子串是合法括号串的个数为 0。
将根到 2 号结点的字符串为 ((,子串是合法括号串的个数为 0。
将根到 3 号结点的字符串为 (),子串是合法括号串的个数为 1。
将根到 4 号结点的字符串为 (((,子串是合法括号串的个数为 0。
将根到 5 号结点的字符串为 ((),子串是合法括号串的个数为 1。
【数据范围】
